搜全网
2023-01-22 09:00 编辑:王舒来源:河北省发展和改革委员会
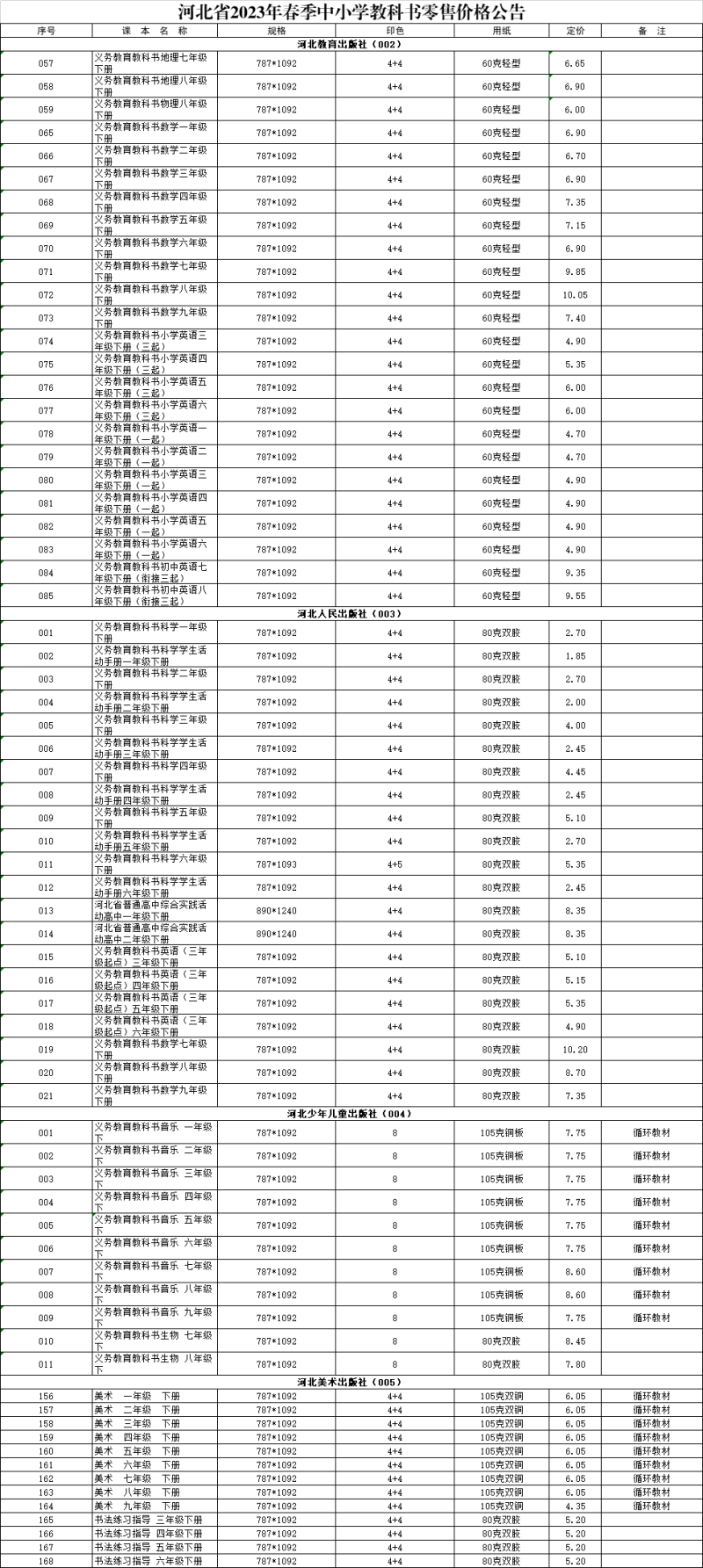
河北省发展和改革委员会最新公布关于公布2023年春季中小学教科书零售价格的公告,根据有关规定,河北省发展和改革委员会会同河北省新闻出版局核定了2023年春季列入河北省中小学教学用书目录的教科书零售价格,现予以公布。↓↓↓
环渤海新闻网消息(记者 闫妍)在
1月21日,农历除夕。当大家与父母
关于唐山南湖·开滦旅游景区春节期
1月20日,由唐山文旅集团联手路北
公筷公勺
社会主义核心价值观
垃圾分类
讲诚信
广电概况 | 机关党建 | 领导班子 | 工作动态 | 主持人介绍
Copyright 2008-2020 唐山广电网 版权所有 互联网新闻信息服务许可证13120180012 信息网络传播视听节目许可证1-03-3-2-0008 冀ICP备17030083号
举报邮箱:tssvcn@163.com 网站违法和不良信息举报电话:0315-2812022
下载客户端